青海省农林科学院-九游官网

新闻资讯

九游官网
您目前的位置: 九游九游官网首页» 新闻资讯» 科研动态

我院绿色农药环境安全风险评估团队研究取得新进展

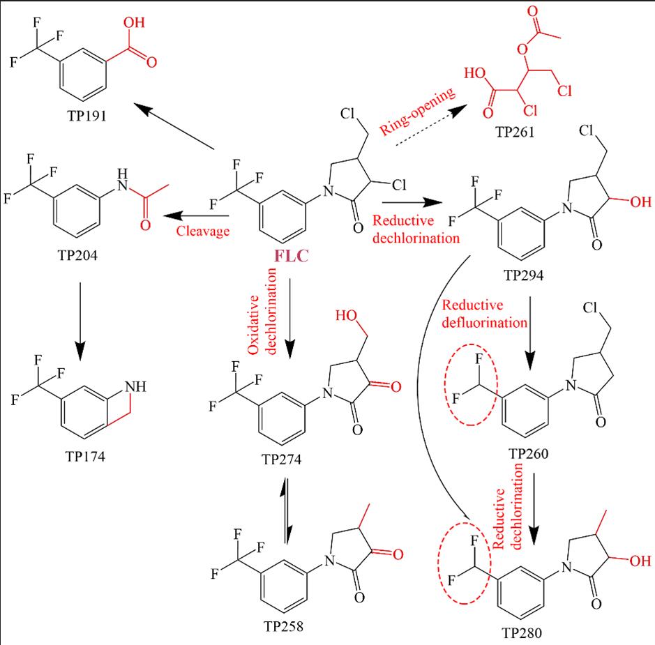
近日,青海大学农林科学院绿色农药环境与生态安全风险评估团队分别在《 bioresource technology 》(中科院一区top/if="9.7)和《 ecotoxicology and environmental safety 》(中科院二区top/if="6.2)期刊上分别发表题为“efficient biodegradation of flurochloridone herbicide by streptomyces parvus strain f-g-2 and its degradation mechanism”和“degradation kinetics, pathways, transformation products, and toxicity assessment of fluorochloridone in agricultural soils”的研究论文。青海大学农林科学院硕士研究生赵栋为论文第一作者,李玮研究员为论文通讯作者。该项研究成功解析了新型除草剂氟咯草酮在高原生态系统中的环境归趋,揭示了吡咯烷酮类除草剂的选择性生物降解机理,所获得的高效降解菌株可通过生物强化修复的方式,规模化的应用于修复除草剂污染的土壤,尤其适用于生态脆弱的青藏高原地区。所开发的α/β水解酶等工具酶可优化用于工业级降解剂合成,拓展了农药污染治理技术。为青藏高原地区的农业面源污染修复提供了理论依据和技术支撑,该研究得到了青海省科学技术厅基础研究(面上)项目的支持。

974896ae42b54a10b0ef7d93f3190151.jpg 53f9ceb7c10242179e6492a2a83e3435.jpg

网站地图